Кевер Е.Е.
Химик-аналитик, специалист по высокоэффективной жидкостной хроматографии
В предыдущем материале мы рассматривали растения, в которых находился широкий спектр различных соединений, сильно различающихся по полярности и принадлежащих к разным классам. В случае женьшеня мы столкнулись с тем, что основными полезными компонентами являются соединения одного класса, так называемые гензенозиды или панаксозиды или сапонины, полярность которых находится в широких пределах от гидрофильных до гидрофобных. Это объясняется тем, что сапонины являются производными гидрофобного «ядра», к которому присоединяются от одного до шести гидрофильных заместителя – моносахарида, которые уменьшают гидрофобность и увеличивают гидрофильность сапонина. В Приложении приведены сведения по некоторым расшифрованным сапонинам.
При анализе В-ПГ (воднопропиленгликолевых) экстрактов женьшеня выяснилось, что не все сапонины одинаково хорошо извлекаются (экстрагируются) из женьшеня. А в данном случае желательно и даже необходимо было максимально извлечь из женьшеня все сапонины. Поэтому ЗАО «ЗЭФ» по предложению заказчиков провёл исследования. В результате этих исследований получился экстракт, обогащённый практически всеми сапонинами женьшеня. Наглядно это показано на следующих рисунках.
На рисунке 1 показаны хроматограммы В-ПГ экстрактов женьшеня полученных по разным технологиям экстракции (далее экстракты по «технологии 1» и «технологии 2») . В экстракте выработанном по технологии 2 содержание (концентрация) практически всех компонентов больше чем в экстракте выработанном по технологии 1, причём многих компонентов больше в разы! Большинство пиков, за исключением нескольких, являются сапонинами.

Рис. 1. Хроматограммы В-ПГ экстрактов женьшеня («ЗЭФ»): Сиреневая – изготовленный по технологии 1, Синяя – изготовленный по технологии 2. Загрузка сырья в обоих случаях одинакова – 5%. Большие пики 37.9 мин – консервант триклозан.
Теперь сравним новый экстракт женьшеня ЗАО «ЗЭФ» с экстрактами других производителей.
На рисунке 2 показаны хроматограммы В-ПГ экстрактов женьшеня очень крупной и известной зарубежной (торгующей на международном рынке) фирмы №1 и ЗАО «ЗЭФ».
При сравнении хроматограмм можно заметить, что в целом картина пиков совпадает, оба экстракта приготовлены из женьшеня. В то же время есть и отличия, в каждом экстракте есть «уникальные» пики (компоненты), которых нет в другом экстракте. Существует много видов женьшеня и ещё больше сортов, причём каждый производитель или продавец утверждает, что именно в его женьшене больше всего сапонинов. Так что здесь мы имеем дело с экстрактами, приготовленными из разных видов или сортов женьшеня. Но содержание, концентрация общих компонентов женьшеня в экстракте ЗАО «ЗЭФ» больше, причём многих компонентов больше в несколько раз, при том, что цена существенно ниже.

Рис. 2. Хроматограммы В-ПГ экстрактов женьшеня:
Красная – зарубежной фирмы №1,
Синяя – ЗАО «ЗЭФ».
(Пик 36.8 мин в экстракте ЗАО «ЗЭФ» – консервант триклозан.)
На рисунке 3 показаны хроматограммы В-ПГ экстрактов женьшеня крупной известной зарубежной фирмы №2 и ЗАО «ЗЭФ».
В экстракте зарубежной фирмы №2 только следы компонентов женьшеня, их содержание настолько мало, что назвать его экстрактом женьшеня можно только условно. Цена экстракта фирмы №2 была примерно в 2 раза ниже, чем цена экстракта фирмы №1, но содержание компонентов в десятки раз ниже. При этом цена экстракта фирмы №2 выше цены экстракта ЗАО «ЗЭФ».
Можно добавить, что другие экстракты этой фирмы отличаются более низким (часто в несколько раз) содержанием компонентов по сравнению с экстрактами ЗАО «ЗЭФ» и фирмы №1.

Рис. 3. Хроматограммы В-ПГ экстрактов женьшеня:
Красная – зарубежной фирмы №2
Синяя – экстракта ЗАО «ЗЭФ», изготовленного по технологии 1.
Пик 39.5 мин в экстракте ЗАО «ЗЭФ» – консервант триклозан,
пик 22.5 мин в экстракте фирмы №2 – консервант метил парабен.
На рисунке 4 показаны хроматограммы В-ПГ экстракта женьшеня зарубежной фирмы №3, причём по документам экстракт был приготовлен из 10% сырья, и экстракта ЗАО «ЗЭФ», приготовленного из 5% сырья. Из сравнения этих хроматограмм можно предположить, что экстракт зарубежной фирмы приготовлен не из 10% сырья, а из гораздо меньшего количества (можно было бы примерно рассчитать, но мы решили не ставить перед собой такой задачи) или эта фирма не умеет экстрагировать женьшень, что представляется более вероятным из анализа хроматограммы. Из анализа видно, что в правой части хроматограммы практически нет пиков, а как раз эти компоненты извлекаются из женьшеня труднее всего, при этом компоненты, которые легко извлекаются из женьшеня, есть, но в низкой концентрации. Это свидетельствует скорее о «плохой» технологии экстракции, а не о малом количестве сырья.

Рис. 4. Хроматограммы В-ПГ экстрактов женьшеня:
Красная – экстракт зарубежной фирмы №3 из 10% сырья,
Синяя – экстракт, изготовленный по технологии 2, ЗАО «ЗЭФ» из 5% сырья .
Большой пик 38 мин в экстракте ЗАО «ЗЭФ» – консервант триклозан.
Из этих данных следует простой вывод: по соотношению цена – качество экстракт женьшеня ЗАО «ЗЭФ» изготовленный по технологии 2 не имеет конкурентов на рынке.
Приложение
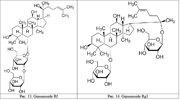
Сапонины женьшеня являются производными панаксадиола и панаксатриола, показанными на рисунках 5 и 6. Они являются тем гидрофобным ядром, которое затем «гидрофилизируется» моносахаридными заместителями: чем больше заместителей, тем более гидрофильней сапопнин. В таблице 1 приведены характеристики, а на рисунках 7-18 показаны структурные формулы сапонинов. Данные взяты из каталога Sigma-Aldrich, все эти сапонины доступны в качестве аналитических стандартов.
Таблица 1.
| Сапонин
Ginsenoside |
Молекулярная
масса |
Эмпирическая формула | Моносахаридов | Призводное
Панкса- |
| Rb1 | 1109.29 | C54H92O23 | 4 | диола |
| Rb2 | 1079.27 | C53H90O22 | 4 | диола |
| Rb3 | 1079.27 | C53H90O22 | 4 | диола |
| Rc | 1079.27 | C53H90O22 | 4 | диола |
| Rd | 947.15 | C48H82O18 | 3 | диола |
| Re | 947.15 | C48H82O18 | 3 | триола |
| Rf | 801.01 | C42H72O14 | 2 | триола |
| Rg1 | 801.01 | C42H72O14 | 2 | триола |
| Rg2 | 785.01 | C42H72O13 | 2 | триола |
| Rg3 | 785.01 | C42H72O13 | 2 | диола |
| Rh1 | 638.87 | C36H62O9 | 1 | триола |
| Rh2 | 622.87 | C36H62O8 | 1 | диола |






